El espesor de una losa de hormigón es uno de los parámetros más decisivos para el rendimiento de un pavimento industrial. Determina la capacidad portante, la resistencia frente al tránsito, la durabilidad y la probabilidad de que aparezcan patologías con el paso del tiempo. Aunque en muchas obras aún se repiten espesores como si fueran reglas universales —15, 18 o 20 cm—, la realidad es que no existe un espesor estándar válido para todas las naves. Cada pavimento trabaja de una forma distinta según su uso, la calidad del terreno, las cargas, la frecuencia del tráfico y la forma en que esas cargas se transmiten al hormigón.
Comprender cómo se determina correctamente el espesor permite entender por qué se producen gran parte de los fallos típicos y por qué un diseño aparentemente simple requiere criterios técnicos sólidos. Esta guía profundiza en los fundamentos del cálculo, explica las fórmulas más utilizadas en diseño de losas industriales y recoge los rangos de espesor habituales en entornos logísticos e industriales.
Qué entendemos por espesor de una losa de hormigón
En pavimentos industriales se utilizan términos como losa, solera o pavimento de hormigón, que no siempre significan lo mismo. Una losa de hormigón sobre el terreno es un elemento estructural capaz de trabajar en flexión y transmitir las cargas al soporte. Una solera industrial, aunque pueda comportarse como una losa, se diseña pensando más en el desempeño y las tensiones que sufrirá durante la vida útil de la nave.
En ambos casos, el espesor es la dimensión vertical del hormigón estructural, sin incluir endurecedores superficiales ni tratamientos de acabado.
Este espesor es el que resiste las tensiones producidas por cargas concentradas, tráfico repetitivo, estanterías de gran altura o maquinaria industrial. Por eso no puede determinarse de forma aislada.
Por qué el espesor no es un valor fijo
El espesor adecuado depende de múltiples variables:
- la capacidad del terreno,
- las cargas estáticas y dinámicas,
- la frecuencia del tráfico,
- el tipo de hormigón,
- la fatiga acumulada,
- la presencia de fibras o armaduras,
- y el uso final de la nave.
Por ejemplo, dos naves idénticas pueden requerir espesores muy diferentes si cambian las cargas por rueda, la maquinaria utilizada o la altura de las estanterías. Una losa de 18 cm puede ser suficiente en logística ligera, pero insuficiente en un centro de distribución con vehículos trilaterales o pasillos estrechos donde la repetición de cargas es extrema.
El espesor no es un número decorativo: es el mecanismo que condiciona la vida útil del pavimento.
Factores que determinan el espesor de una losa industrial
El primer condicionante es el módulo de reacción del terreno (k). Este valor, obtenido mediante ensayos, indica cuánto se deforma el terreno bajo carga. Valores típicos:
- Terreno blando: k = 20–50 MN/m³
- Terreno compactado: k = 50–100 MN/m³
- Terreno granular de alta capacidad: k = 100–150+ MN/m³
Cuanto menor es el valor k, mayor debe ser el espesor para garantizar que la losa no flexione en exceso.
Otro factor clave son las cargas industriales. Una carretilla pesada puede transmitir entre 4.000 y 7.000 kg por rueda en zonas muy reducidas. En pavimentos sometidos a tráfico repetitivo, la fatiga acumulada aumenta la exigencia sobre la losa. Las estanterías generan cargas puntuales muy elevadas en pequeñas áreas de apoyo, lo que también influye en el espesor.
El módulo elástico del hormigón (E) y su resistencia afectan directamente a la rigidez del pavimento. Valores típicos de E oscilan entre 27 y 38 GPa según la resistencia del hormigón. El coeficiente de Poisson suele rondar 0,15–0,20.
Todos estos parámetros se integran en el cálculo estructural de la losa.
Cálculo del espesor según Westergaard y ACI: fórmulas explicadas
La teoría clásica de Westergaard permite comprender cómo se comporta una losa sobre terreno elástico. Una de las variables fundamentales es el radio de rigidez relativa:

Este parámetro muestra cómo el espesor h afecta a la capacidad de la losa para distribuir tensiones.
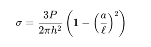
Para cargas aplicadas en borde (una de las zonas más críticas), la tensión aproximada es:

Donde:
- P = carga por rueda
- a = radio del área de contacto
Si la tensión resultante supera la capacidad del hormigón, hay que aumentar el espesor o mejorar el terreno.
Los métodos ACI utilizan esta base teórica y la complementan con curvas de fatiga, teniendo en cuenta la repetición de cargas a lo largo de la vida útil.
Por ejemplo: con P ≈ 5.000 kg por rueda y un terreno de k = 50 MN/m³, una losa de 15 cm puede ser insuficiente, mientras que 18–20 cm proporcionan un margen de seguridad adecuado.
Espesores orientativos según el uso industrial
Sin convertir esto en una tabla rígida, existen rangos habituales que se repiten en proyectos reales.
En logística estándar, 16–18 cm es frecuente cuando el tráfico es moderado y el terreno tiene buena capacidad. En centros logísticos de alto rendimiento, donde el tráfico es continuo y se utilizan vehículos especializados, los espesores suelen subir a 18–22 cm.
Las estanterías de gran altura pueden requerir espesores mayores o el uso de fibras metálicas para controlar la flexión y distribuir tensiones.
En cámaras frigoríficas, donde las cargas dinámicas son menores pero las variaciones térmicas exigen precisión, los espesores suelen situarse entre 14 y 18 cm.
Zonas con maquinaria pesada y cargas puntuales elevadas pueden superar fácilmente 20 cm, especialmente en áreas localizadas.
Consecuencias de un espesor insuficiente
Cuando el espesor es insuficiente, la losa comienza a mostrar síntomas claros. Las fisuras iniciales se abren con el tránsito y pueden convertirse en grietas estructurales. La rotura de cantos en juntas es uno de los fallos más característicos, porque revela que la losa no tiene la rigidez necesaria para amortiguar los impactos.
Los asentamientos localizados afectan a la planeidad, lo que reduce la seguridad y dificulta la circulación de maquinaria. La generación de polvo es uno de los signos más visibles: el hormigón, obligado a trabajar por encima de su capacidad, pierde material superficial.
Cuando estos fallos comienzan a aparecer, no siempre es viable modificar el espesor original de la losa; sin embargo, sí es posible intervenir sobre la superficie para recuperar su rendimiento. En muchos proyectos industriales, este tipo de patologías se aborda con tratamientos aplicados por una empresa de pavimentos industriales, capaz de mejorar la resistencia superficial, reducir el polvo y aumentar la durabilidad sin necesidad de demoler toda la solera.
Esta es la intervención típica de especialistas como BECOSAN®, que trabajan sobre los pavimentos ya existentes para restaurar o mejorar su comportamiento.
Cómo se calcula realmente el espesor adecuado
El proceso comienza con la determinación del módulo k, seguido del análisis de tensiones en zona interior, de borde y de esquina. Estas zonas se comparan con la tensión admisible del hormigón y con los criterios de fatiga del ACI.
El espesor se ajusta combinando:
- carga por rueda,
- repetición de cargas,
- diámetro de contacto,
- capacidad del terreno,
- módulo elástico del hormigón,
- y necesidad de controlar retracciones mediante fibras.
El resultado es un espesor que no solo evita la rotura, sino que asegura un comportamiento estable durante toda la vida útil del pavimento.
Conclusión
El espesor de una losa industrial no es un valor arbitrario. Es el resultado de un análisis técnico que determina si el pavimento funcionará correctamente durante años o si aparecerán fallos prematuros. Un diseño adecuado previene fisuras, roturas de canto, polvo y deformaciones, y garantiza la seguridad y el rendimiento en entornos logísticos e industriales.
Y cuando la losa ya está ejecutada y presenta síntomas de desgaste, siempre existen soluciones para recuperar su capacidad mediante intervenciones especializadas sobre la superficie.
Janine Holtermann
Este artículo ha sido revisado por Janine Holtermann, responsable de la coordinación general de proyectos en España en BECOSAN® Flooring SL, con el objetivo de garantizar la exactitud técnica, la actualidad de la información y su coherencia con la práctica profesional del sector.